Investice do rozvoje vzdělávání
   Tisknout

Goniometrické rovnice


Příklad č.:  53
www.SbirkaPrikladu.eu/p/53

Zařazen do skupin:
Goniometrické rovnice
Stupeň školy:
Středoškolský

Autor:
Michal Szurman
Obtížnost dle autora:
2
Obliba dle uživatelů:

Zadání příkladu


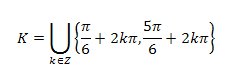
Řešte v R goniometrickou rovnici sin x = 0,5.

Řešení příkladu


Určíme úhel pro x v prvním kvadrantu.



Funkce sinus má kladné funkční hodnoty v 1. a 2. kvadrantu. Perioda této funkce je 2π.
Pro 1. kvadrant přičteme určenou hodnotu k 0.

 
Pro 2. kvadrant odečteme určenou hodnotu od π.

 

 

Výsledek příkladu



×