Investice do rozvoje vzdělávání
   Tisknout

Goniometrické rovnice


Příklad č.:  55
www.SbirkaPrikladu.eu/p/55

Zařazen do skupin:
Goniometrické rovnice
Stupeň školy:
Středoškolský

Autor:
Michal Szurman
Obtížnost dle autora:
2
Obliba dle uživatelů:

Zadání příkladu


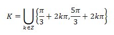
Řešte v R goniometrickou rovnici : cos x = 0,5

Řešení příkladu


Určíme úhel pro x v prvním kvadrantu.



Funkce cosinus má kladné funkční hodnoty v 1. a 4. kvadrantu. Perioda této funkce je 2π.
Pro 1. kvadrant přičteme určenou hodnotu k 0.
 

 
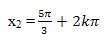
Pro 4. kvadrant odečteme určenou hodnotu od 2π.
 
 

Výsledek příkladu



×