Investice do rozvoje vzdělávání
   Tisknout

Goniometrické rovnice


Příklad č.:  57
www.SbirkaPrikladu.eu/p/57

Zařazen do skupin:
Goniometrické rovnice
Stupeň školy:
Středoškolský

Autor:
Michal Szurman
Obtížnost dle autora:
2
Obliba dle uživatelů:

Zadání příkladu


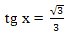
Řešte v R goniometrickou rovnici : 

Řešení příkladu




Výsledek příkladu



×